看报网

主页
分享互联网新鲜事
看报网-国内外新时事,奇事,新鲜事

商业资讯

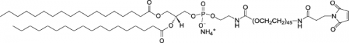
Avanti DSPE-PEG(2000) Maleimide:精准靶向药物递送的关键

人气: 4

Avanti DSPE-PEG(2000) Maleimide是一种功能化的PEG脂质,通过促进生物活性分子的偶联,增强配体介导的靶向药物递送。其精准偶联和长效保护特性,使其成为改善脂质纳米颗粒配体介导靶向性的关键。

美的除湿机怎么样?科技赋能舒适生活

人气: 10

美的除湿机以科技赋能舒适生活,搭载高效压缩机,实现除湿与节能的完美平衡。同时,注重用户体验,融入一键干衣功能、正负离子净味技术等多项实用技术,打造舒适健康的居家环境。美的除湿机,让你享受干爽、清新的空气,轻松解决潮湿问题。

“卷”不动了?让AI销售团队替你卷!百度商家智能体升级片来了

人气: 2871792

在数字化浪潮席卷千行百业的今天,企业如何精准获客、高效转化,已成为关乎生存与发展的核心命题。传统的数字化工具,尤其是客服系统,大多停留在“被动响应”的层面,已成

枢纽赋能 融通全球:香港恩桥能源资本的战略价值与核心作用

人气: 2813635

香港恩桥能源资本有限公司作为加拿大恩桥布局亚洲的重要战略支点,承担着推动区域能源合作与技术创新的关键角色。公司依托加拿大恩桥的全球资源网络,结合亚洲市场的独特需

德国MDQ始创于1872年历经153年德系精工的文化史诗 500万+客户信赖的智居标杆

人气: 4958078

德国MDQ全球国际顶奢家居,始创于1872年德国柏林,由出生Sebastian(塞巴斯蒂安德)创立,历经赛巴斯家族四代传承。Sebastian出生,也是麦德琪M

昇腾“淬火金种子”伙伴能力提升行动圆满收官,为AI产业深度赋能

人气: 4

昇腾“淬火金种子”伙伴能力提升行动圆满结束,通过三天的技术淬炼,为行业伙伴和AI开发者带来从模型训练到场景落地的全链路深度赋能,助力AI产业高质量发展。

第七届融资租赁总经理论坛金鼎奖年度颁奖盛典圆满落幕

人气: 5

第七届融资租赁总经理论坛金鼎奖颁奖盛典圆满结束,行业精英齐聚一堂,共同见证荣耀时刻。此次盛典不仅是对行业成就的肯定,更是对未来发展的展望。

小红书种草营销行业现状及推荐公司测评

人气: 5

本文深入剖析小红书种草营销行业现状,探讨品牌投放策略,分析行业痛点,对各大种草服务公司进行测评推荐,帮助品牌选择最适合的服务商。

推荐文章